
网展专栏

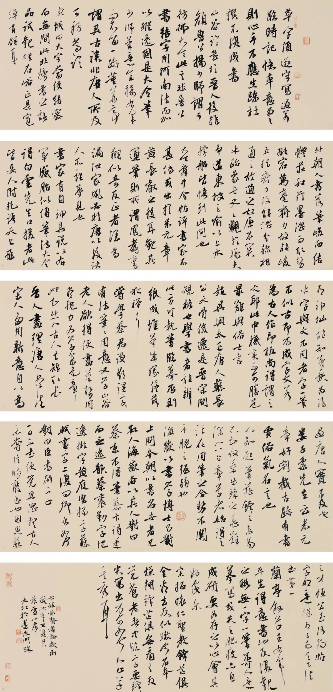
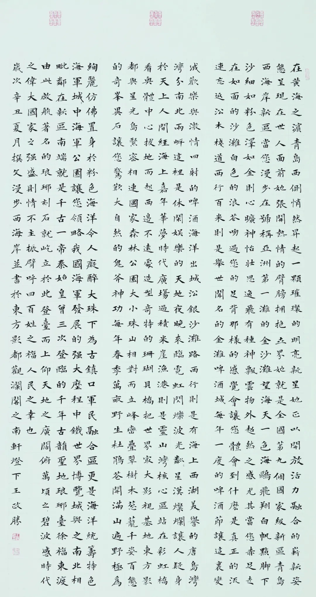
山海无际,翰墨情深。 “山海情深 翰墨青岛——青岛地域书风优秀作品展”由中共青岛市委宣传部、青岛市文学艺术界联合会主办,山东省书法家协会学术支持,由青岛市书法家协会、青岛画院承办,是青岛市书法家协会多年来积极倡导学术与创作并重,努力打造“雄强、苍深、开放、包容”具有青岛独特山海文化特色的地域书风学术理念的一次积极实践。 展览所呈现的近160件优秀作者的精品力作,书体类型和风格多样,是践行新时代文艺发展的一次有意义的探索,为青岛文艺发展留下一点思考和延展。为实现青岛书法“从高原到高峰”的跨越发展不懈努力以及在新的时代背景和机遇下定位高标、构思宏远的精神追求。 展览将于2021年12月25日上午10点在青岛画院美术馆开展,展期至12月31日。欢迎各界朋友前往参观。 青岛画院美术馆地址:青岛市市南区旭光路与晓望支路交汇处(导航青岛画院美术馆即可) 名誉主席、顾问作品 徐国轩 中国书法家协会会员、青岛市书法家协会名誉主席 梁有新 中国书法家协会会员、青岛市书法家协会名誉主席 王树先 中国书法家协会会员、青岛市书法家协会名誉主席 姜岱积 中国书法家协会会员、青岛市书法家协会名誉主席 贺中祥 中国书法家协会理事、山东省书法家协会顾问、青岛市书法家协会名誉主席 张伟 中国书法家协会会员、山东省书法家协会顾问、青岛市书法家协会名誉主席 徐健 中国书法家协会会员、山东省书法家协会对外交流委员会副主任、青岛市文联党组成员、副主席 姜言夫 青岛市书法家协会顾问 战世敬 中国书法家协会会员、青岛市书法家协会顾问 潘盛国 中国书法家协会会员、青岛市书法家协会顾问 张景 中国书法家协会会员、青岛市书法家协会顾问 赵善亭 中国书法家协会会员、青岛市书法家协会顾问 杨淑德 青岛市书法家协会顾问 主席团委员作品 范国强 中国书法家协会国际交流委员会委员、山东省书法家协会副主席、青岛市书法家协会主席 郭强 中国书法家协会会员、山东省书法家协会副秘书长、青岛市书法家协会常务副主席兼秘书长、青岛市文联主席团委员、青岛画院副院长 姜乐平 中国书法家协会会员、山东省书法家协会理事、青岛市书法家协会副主席 杨乃瑞 中国书法家协会会员、山东省书法家协会理事、青岛市书法家协会副主席 刘咏 中国书法家协会会员、山东省书法家协会理事、青岛市文学艺术界联合会副主席、青岛市书法家协会副主席 刘健 中国书法家协会会员、山东省书法家协会理事、青岛市书法家协会副主席 宋文京 中国书法家协会会员、山东省书法家协会理事、青岛市书法家协会副主席 张逸之 中国书法家协会会员、山东省书法家协会理事、青岛市书法家协会副主席 张颖 中国书法家协会会员、山东省书法家协会理事、青岛市书法家协会副主席 张耀辉 中国书法家协会会员、山东省书法家协会理事、青岛市书法家协会副主席 高岩 中国书法家协会会员、山东省书法家协会理事、青岛市书法家协会副主席、即墨区书法家协会主席 董坤 中国书法家协会会员、山东省书法家协会书法产业委员会副主任、青岛市书法家协会副主席 高波 中国书法家协会会员、山东省书法家协会对外交流委员会委员、青岛市书法家协会副主席、青岛市市南区书法家协会主席 宫秀芬 中国书法家协会会员、山东省书法家协会青少年培训委员会副秘书长、青岛市书法家协会副主席 田文玲 中国书法家协会会员、山东省书法家协会学术委员会委员、青岛市书法家协会副主席、李沧区书法家协会主席 刘波 中国书法家协会会员、青岛市书法家协会副主席、莱西市书法家协会主席 李慧斌 中国书法家协会会员、山东省书法家协会理事、山东省青年书法家协会副主席、青岛市书法家协会副主席、青岛市青年书法家协会主席 隋守训 中国书法家协会会员、山东省书法家协会草书委员会委员、青岛市书法家协会主席团委员 于永江 中国书法家协会会员、山东省书法家协会行书委员会委员、青岛市书法家协会主席团委员 刘述勇 中国书法家协会会员、山东省书法家协会楷书委员会委员、青岛市书法家协会主席团委员、胶州画院院长 张紫溪 中国书法家协会会员、山东省书法家协会女书法家工作委员会委员、青岛市书法家协会主席团委员 孙云层 中国书法家协会会员、山东省书法家协会行书委员会委员、青岛市书法家协会主席团委员 赵远军 中国书法家协会会员、山东省书法家协会楷书委员会委员、山东省青年书法家协会理事、青岛市书法家协会主席团委员 刘德先 中国书法家协会会员、山东省书法家协会楷书委员会副秘书长、青岛市书法家协会主席团成员、青岛市青年书法家协会副主席兼秘书长、青岛市崂山区书法家协会主席 王秀泉 中国书法家协会会员、青岛市书法家协会主席团委员 沈志宏 中国书法家协会会员、青岛市书法家协会主席团委员、崂山区书法家协会副主席 参展作者(按年龄排序) 苏昭明 中国书法家协会会员 毕和生 中国书法家协会会员、山东省书法家协会刻字委员会委员、山东印社理事 孙程亮 中国书法家协会会员 刘升语 中国书法家协会会员、青岛市市北区书法家协会副主席 孔繁霈 中国书法家协会会员、黄岛区书法家协会副主席 马斗进 中国书法家协会会员、即墨区书法家协会副主席 单建华 中国书法家协会会员 崔传富 中国书法家协会会员、山东省书法家协会学术委员会委员 王德仲 中国书法家协会会员、山东省书法家协会刻字硬笔委员会委员、青岛市市南区书法家协会副主席 王政胜 中国书法家协会会员 张维柱 中国书法家协会会员、山东省书法家协会行业建设委员会委员、青岛市南区书法家协会副主席 刘春雨 中国书法家协会会员、山东省书法家协会学术委员会委员、青岛市书法家协会副秘书长 缪九永 中国书法家协会会员、山东省书法家协会刻字硬笔委员会委员、山东省青年书法家协会理事、青岛市书法家协会副秘书长 赵焕亮 中国书法家协会会员、青岛市书法家协会理事 舒杰 中国书法家协会会员 於江 中国书法家协会会员 汪立德 中国书法家协会会员、青岛市青年书法家协会副秘书长、城阳区书法家协会副主席 高运达 中国书法家协会会员、青岛市青年书法家协会副主席



































































书法传播网版权所有 © 2019 sfjybmxf.com ASSOCIATION
备案号:粤ICP备20028477号
电话:13266097669
广东省东莞市东城区大塘头创客商务中心A07