
网展专栏
首届仰韶文化“彩陶坊杯”全国书法大奖赛作品展开幕

2021年10月17日,在仰韶文化发现100周年暨中国现代考古学诞生100周年之际,首届仰韶文化“彩陶坊杯”全国书法大奖赛作品展在河南渑池隆重开幕。
河南省委原常委、政法委书记张世军,河南省书协顾问张高山,河南省书协主席吴行,河南省书协副主席王志立、刘灿辉、米闹、许雄志、张青山、郑庆伟、姜宝平,义煤集团董事长李中超,渑池县副县长郭小生,河南仰韶酒业董事长侯建光、总经理郭富祥,三门峡市书协主席宋高峰,渑池县书协主席平书卿,以及来自全国各地的获奖作者等出席开幕式,开幕式由三门峡市文联主席刘佰洋主持。
首届仰韶文化“彩陶坊杯”全国书法大奖赛由河南省书协、三门峡市文联主办,三门峡市书协、河南仰韶酒业有限公司承办。大奖赛自征稿以来,共收到全国各省、直辖市、自治区以及国外书法作品4647件。其中河南1611件,广东353件,山东321件,江苏221件,安徽186件,河北185件,浙江147件,陕西142件,山西131件,甘肃127件,投稿量居前十位。
本次大奖赛由河南省书协邀请国家级书法专家组成评审委员会和监审委员会,进行了认真、公正的评审。共评出天时奖5名,奖金每人3万元;地利奖10名,奖金每人1万元;人和奖20名,奖金每人5000元;优秀奖200名。
评委普遍反映,本次大奖赛来稿质量整体水平很高,作品风格多样包容,作品形式异彩纷呈,总体质量均属上乘,展出效果令人惊艳,是一次不可多得的具有较高专业性、美誉度和可观赏性的全国性展览。
本次展览持续时间为10月17日至11月17日。
活动现场


上午9点活动正式开始

河南省委原常委、政法委书记张世军宣布展览开幕

河南省书协主席吴行致辞

河南省书协副主席许雄志宣读获奖名单

三门峡市文联主席刘佰洋主持开幕式

渑池县副县长郭小生致辞

河南仰韶酒业董事长侯建光致辞

获奖作者代表田华璞发言



现场颁奖
展览盛况










开幕前展厅布展情况








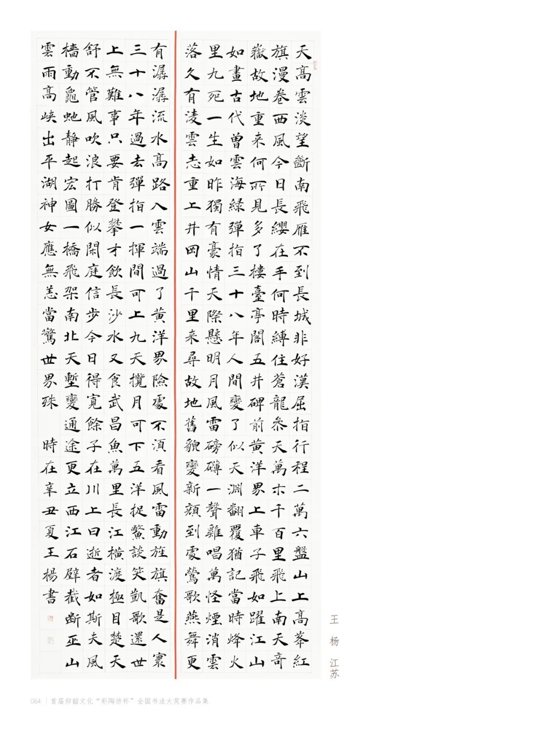
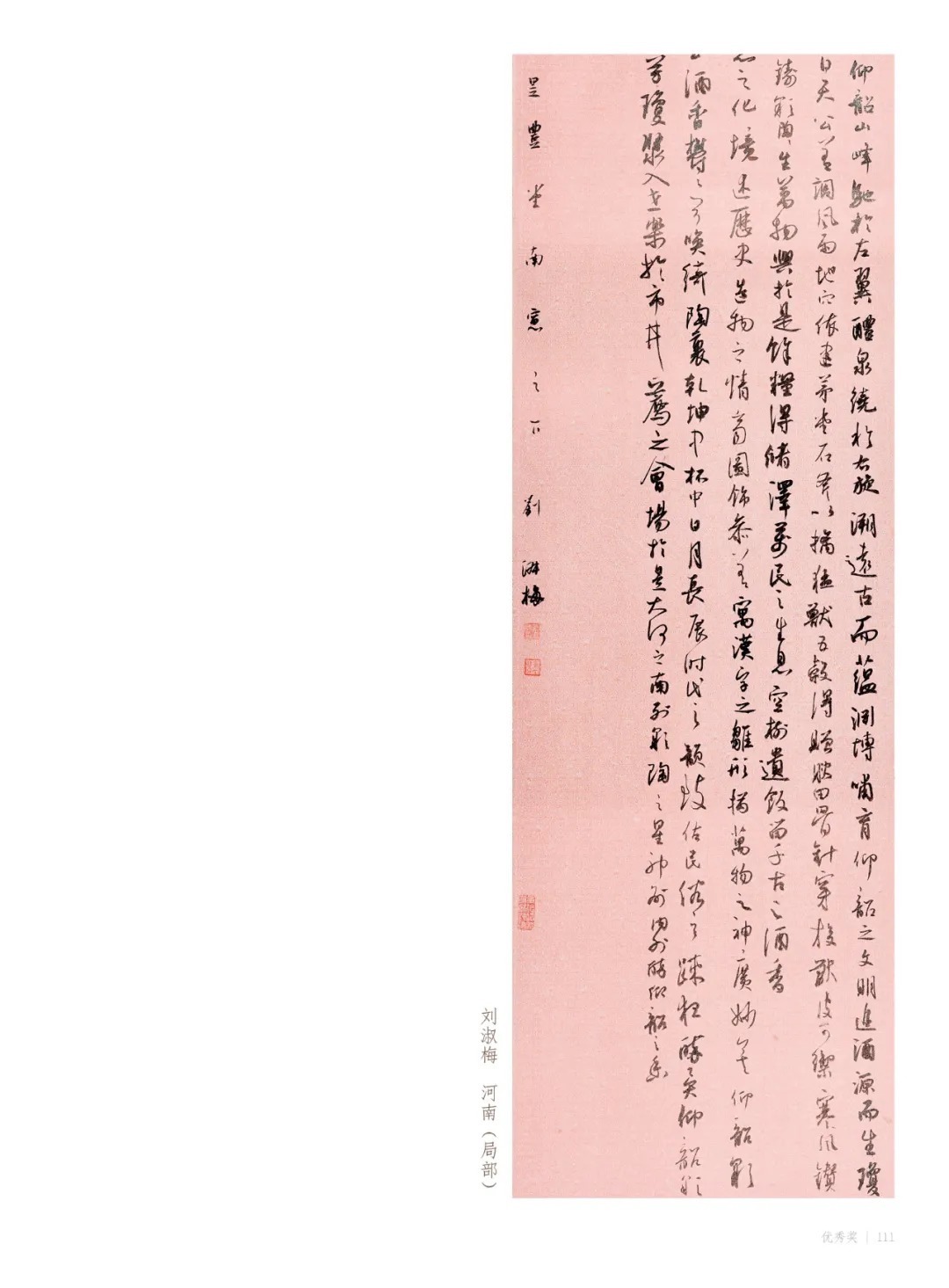
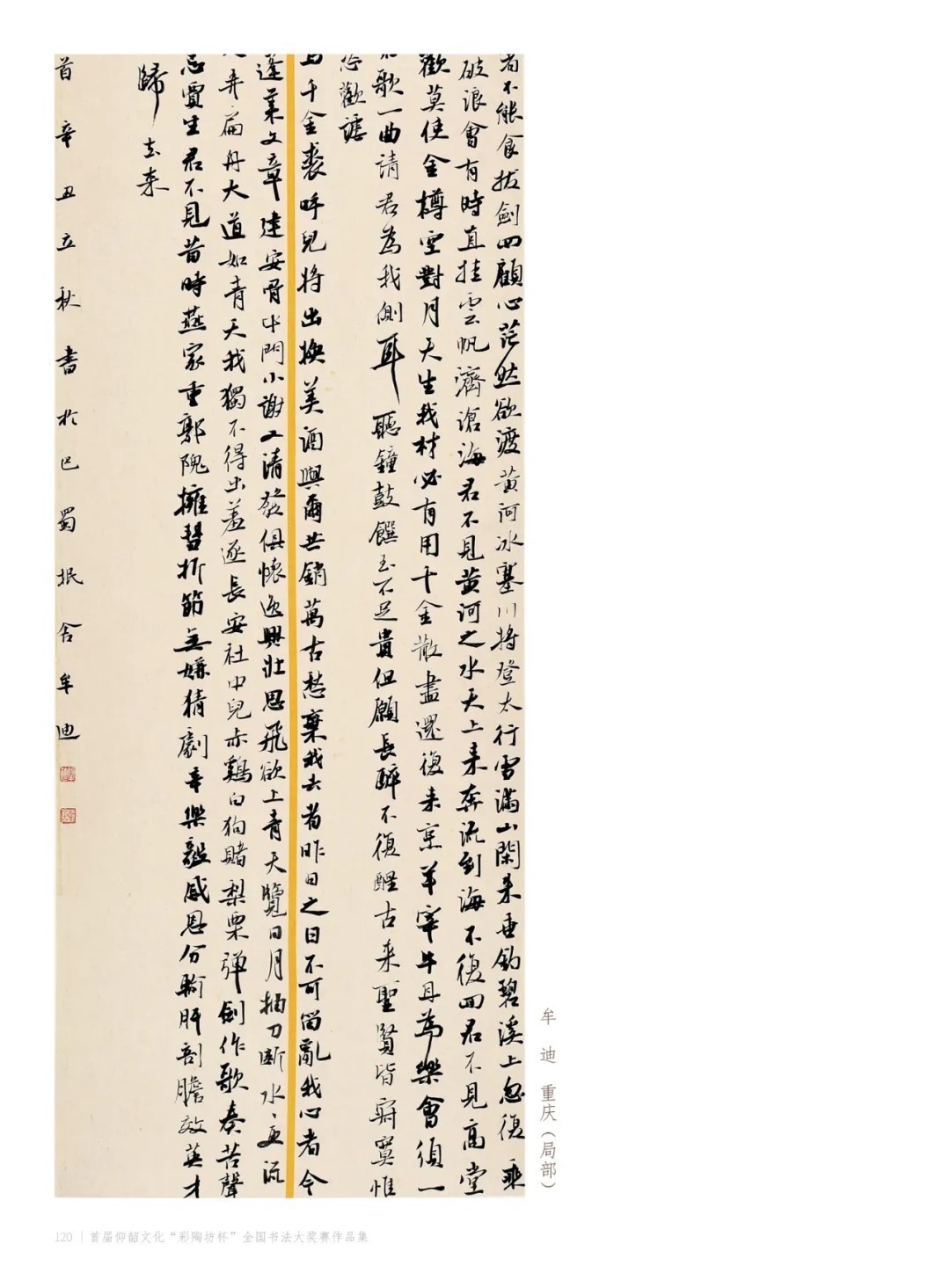
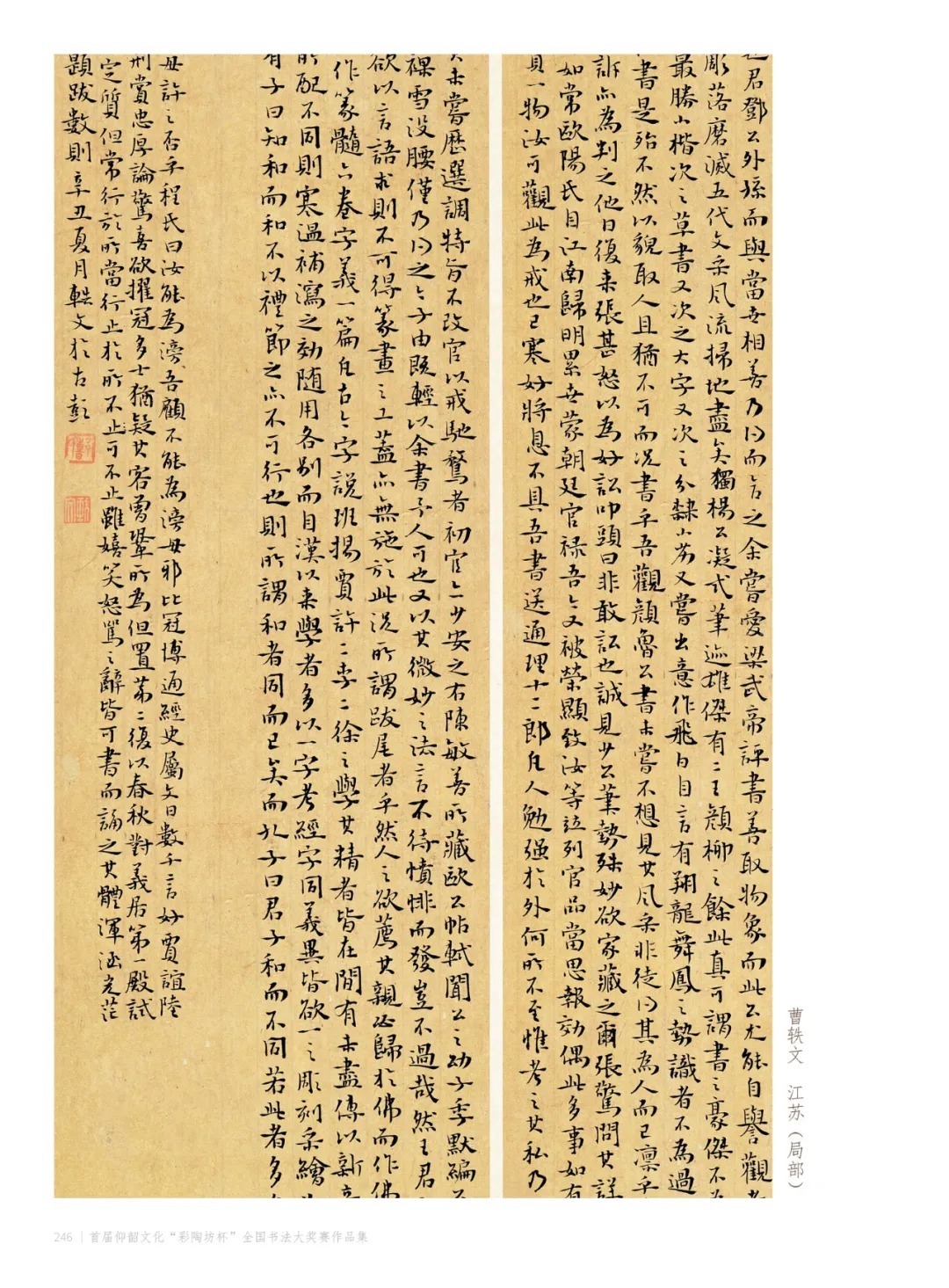
展览作品集














































































































































































































































































书法传播网版权所有 © 2019 sfjybmxf.com ASSOCIATION
备案号:粤ICP备20028477号
电话:13266097669
广东省东莞市东城区大塘头创客商务中心A07